College Athlete NIL Endorsement Agreement

Category:
State:
Multi-State
Control #:
US-1341022BG
Format:
Word; 
Rich Text
Instant download

Overview of College Athlete NIL Endorsement Agreement

A College Athlete NIL (Name, Image, Likeness) Endorsement Agreement is a legal document that outlines the terms under which a college athlete allows a company to use their name, image, and likeness for promotional purposes. This agreement is essential for formalizing the relationship between the athlete and the company, ensuring that both parties understand their rights and obligations regarding endorsements and marketing activities.

Circumstances that call for this form

This agreement should be used in situations where:

  • A college athlete is approached by a company for endorsement deals.
  • The athlete wishes to monetize their name, image, or likeness through advertisements.
  • There is a need to clarify the terms of the endorsement, including payment and usage rights.

Who should consider College Athlete NIL Endorsement Agreement

This form is intended for:

  • College athletes looking to enter into endorsement agreements.
  • Companies seeking to promote their products or services using college athletes.
  • Agents representing college athletes in endorsement negotiations.

Sections you'll find in this form

The College Athlete NIL Endorsement Agreement includes several important sections:

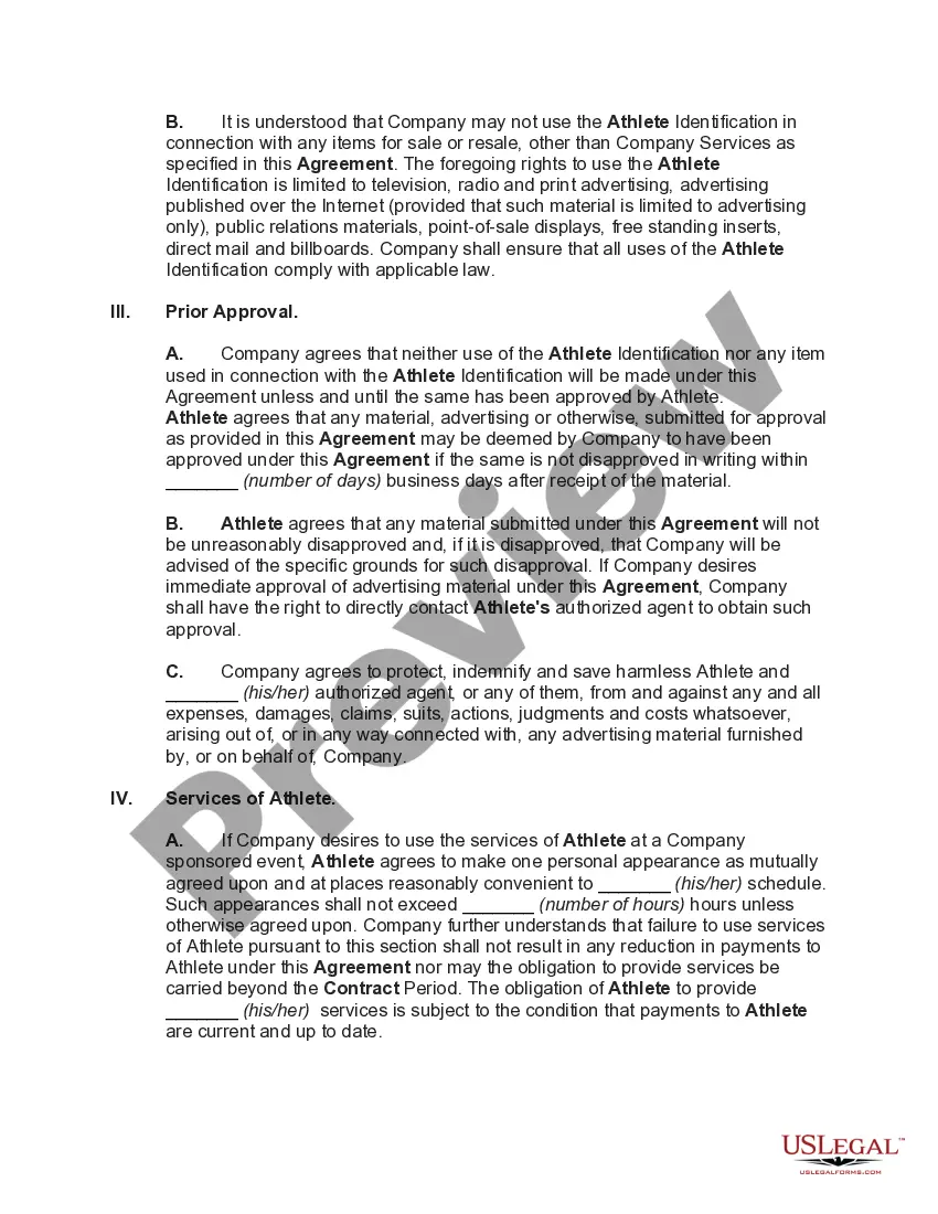
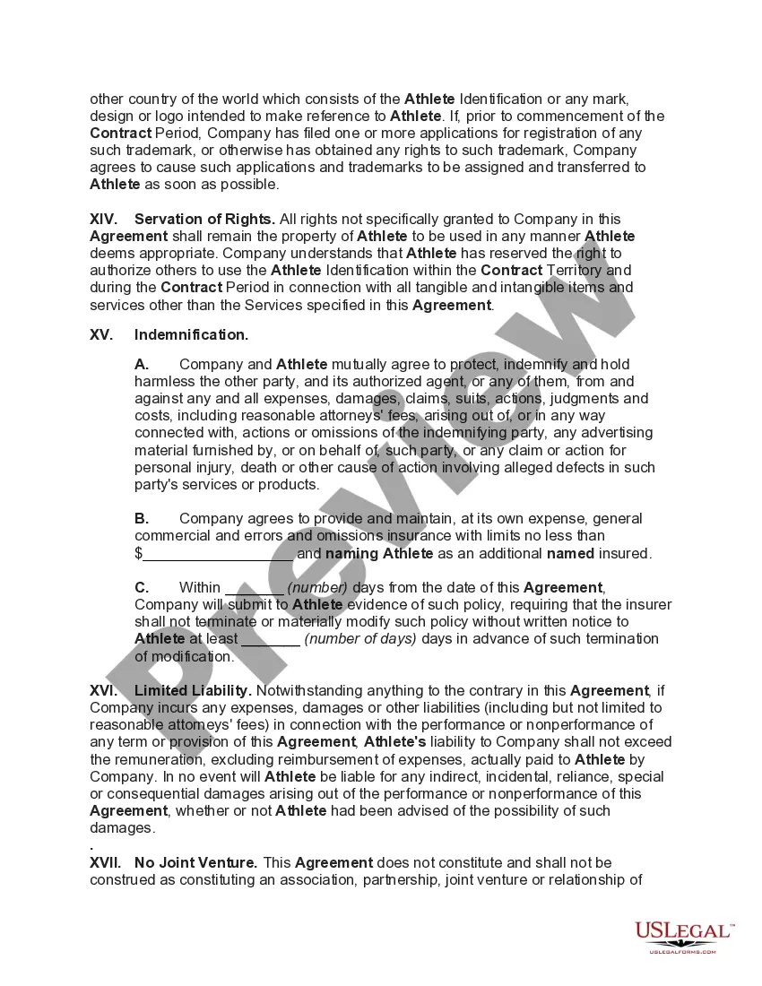
  • Definitions: Clarifies key terms used in the agreement, such as "Contract Period" and "Athlete Identification."
  • Grant of Rights: Details the rights the athlete grants to the company for using their likeness.
  • Prior Approval: Outlines the process for approving marketing materials before they are used.
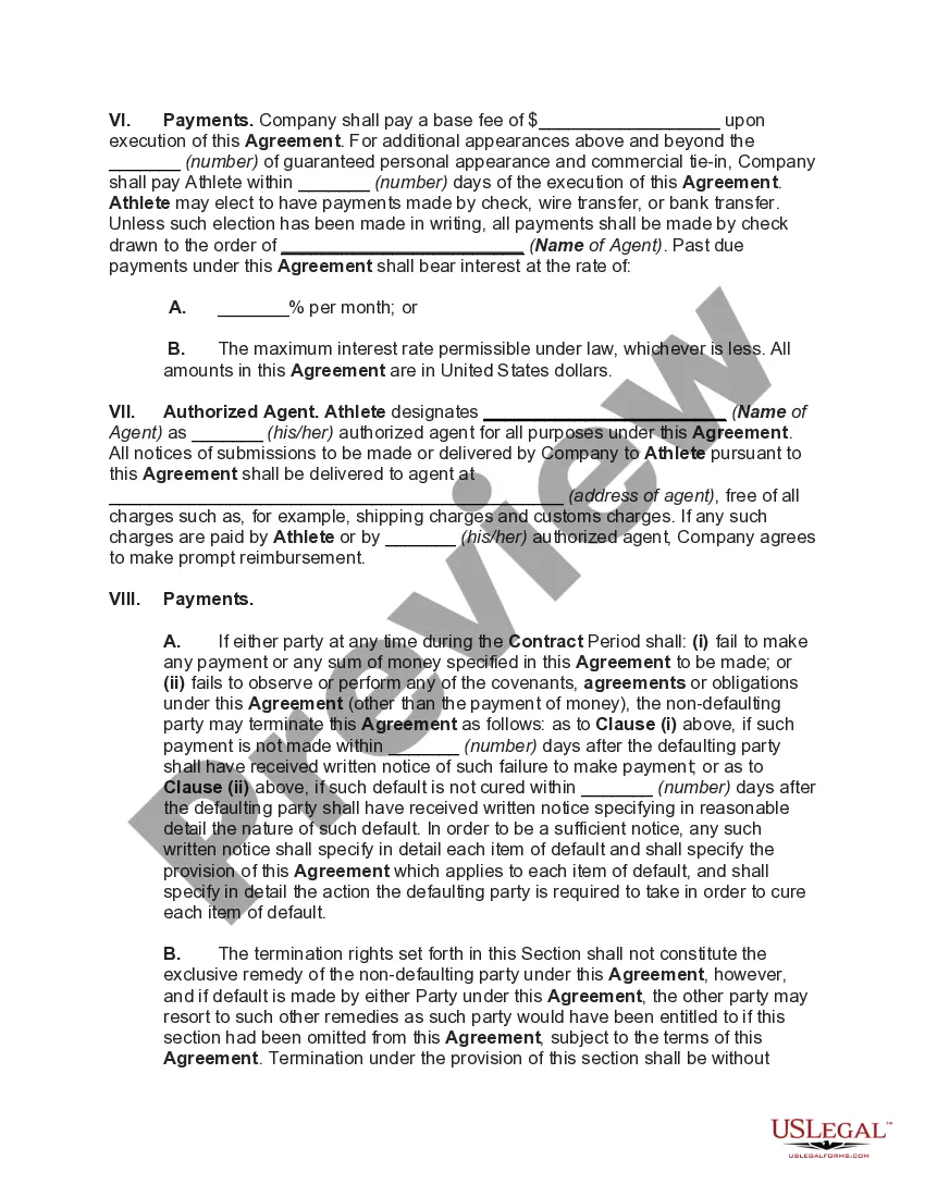
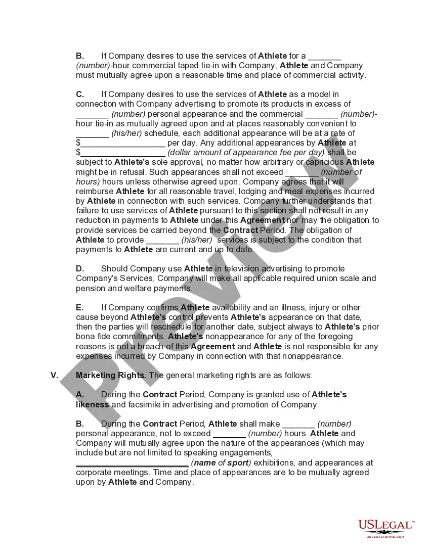
  • Payments: Specifies the compensation structure for the athlete.
  • Termination Clauses: Describes conditions under which the agreement can be terminated.

Tips for completing the College Athlete NIL Endorsement Agreement

Follow these steps to complete the agreement:

  1. Identify the parties: Fill in the names and addresses of the company and the athlete involved in the agreement.
  2. Specify the contract period: Indicate the start and end dates of the endorsement agreement.
  3. Detail the services: Describe the specific services and promotional activities the athlete will engage in, as outlined in Exhibit A.
  4. Define payment terms: State the base fee and any additional compensation for extra appearances or services.
  5. Include approval processes: Outline how marketing materials will be submitted for approval and the timeline for feedback.
  6. Finalize and sign: Ensure both parties sign the document, confirming their agreement to the terms.

Laws and rules by location

While the agreement can be used across various states, it may need to be tailored to comply with specific state laws regarding athlete endorsements and contracts. Users should consult local regulations to ensure compliance with any state-specific requirements.

Why digital forms are a smart choice

Accessing the College Athlete NIL Endorsement Agreement online offers several advantages:

  • Convenience: Download and complete the form at any time from anywhere.
  • Editability: Easily modify the document to fit specific needs without starting from scratch.
  • Legal reliability: Ensure the form is up-to-date with current laws and best practices.
Free preview
  • Form preview
  • Form preview
  • Form preview
  • Form preview
  • Form preview
  • Form preview
  • Form preview
  • Form preview