Quitclaim Deed from Individual to Individual - South Carolina

Category:
State:
South Carolina
Control #:
SC-02-77
Format:
Word; 
Rich Text
Instant download

Purpose of Quitclaim Deed

A South Carolina Quitclaim Deed from Individual to Individual is a legal document used to transfer ownership of real property between two individuals. This deed allows the grantor (the person transferring the property) to relinquish any claim they have to the property, without guaranteeing that the title is free of defects. It is commonly used in situations where the parties know each other and trust the transaction, such as family transfers or between friends.

When to use this form

This form is typically used in various scenarios, including:

  • Transferring property between family members, such as parents to children.
  • Transferring property in a divorce settlement.
  • Changing the title of a property due to marriage or separation.
  • Transferring property as a gift or for nominal consideration.

Who might need Quitclaim Deed

This form is intended for individuals who are:

  • Property owners looking to transfer their interest in a property to another individual.
  • Family members involved in property transactions.
  • Individuals settling property disputes or arrangements.

Sections you'll need to complete

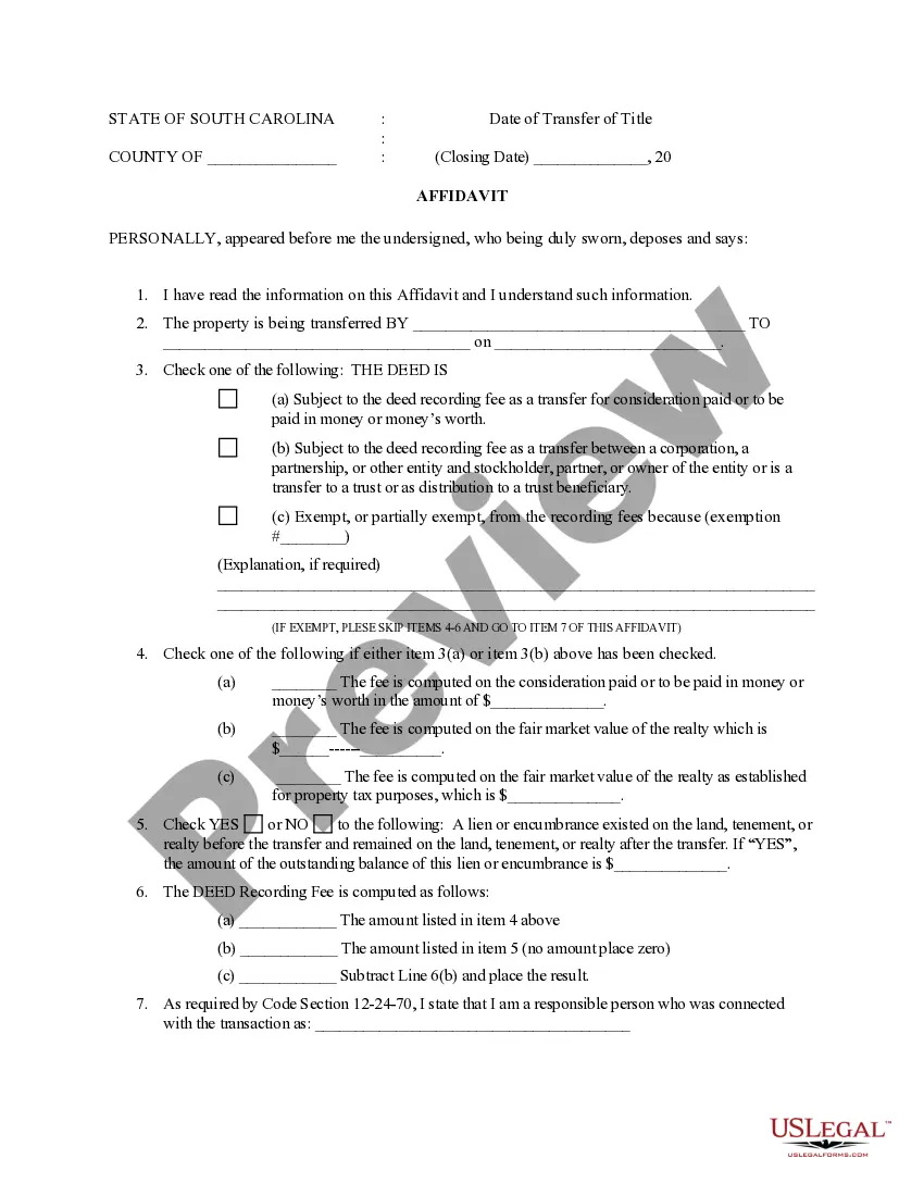
The South Carolina Quitclaim Deed includes several important sections:

  • Parties Involved: Names of the grantor and grantee.
  • Property Description: Detailed description of the property being transferred.
  • Consideration: The amount paid for the property, typically stated as ten dollars and other valuable considerations.
  • Legal Clauses: Statements that outline the rights being transferred and any reservations (e.g., mineral rights).
  • Signatures: Spaces for the grantor and witnesses to sign, along with acknowledgment by a notary public.

How to complete Quitclaim Deed

Follow these steps to complete the form:

  1. Identify the Parties: Clearly state the names of the grantor (the seller) and the grantee (the buyer).
  2. Describe the Property: Provide a detailed description of the property, including its location and any relevant identifiers.
  3. State the Consideration: Indicate the amount being exchanged for the property, typically a nominal sum.
  4. Include Legal Clauses: Mention any rights being transferred and any exceptions, such as mineral rights.
  5. Sign and Date: Both the grantor and witnesses must sign the document, and it should be notarized to be legally binding.

What changes based on your state

In South Carolina, a Quitclaim Deed must be executed according to state laws, which include:

  • The deed must be signed by the grantor in the presence of a notary public.
  • It should include a legal description of the property.
  • Recording the deed with the county recorder's office is necessary to provide public notice of the transfer.

Why online is the faster option

Accessing the Quitclaim Deed online offers several advantages:

  • Convenience: Download and complete the form at your own pace from anywhere.
  • Editability: Easily make changes to the document as needed before finalizing.
  • Legal Reliability: Ensure the form is drafted by licensed attorneys, reducing the risk of errors.
Free preview
  • Form preview
  • Form preview
  • Form preview
  • Form preview