Enhanced Life Estate or Lady Bird Deed - An Individual to Four Individuals - Florida

Category:
State:
Florida
Control #:
FL-06-83
Format:
Word; 
Rich Text
Instant download

Summary of Enhanced Life Estate or Lady Bird Deed

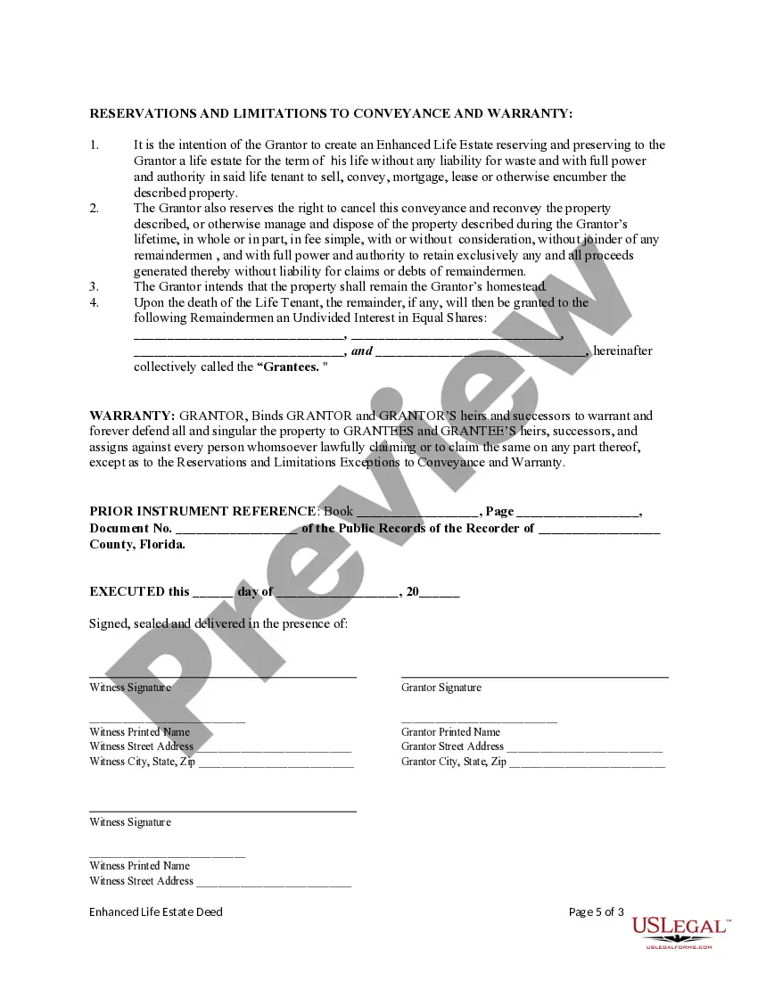
This legal document allows an individual to transfer property to multiple grantees while retaining certain rights during their lifetime. Specifically, it creates an enhanced life estate, which means the grantor can live on the property and has the authority to manage it without the need for consent from the grantees. This type of deed is particularly useful for estate planning, as it simplifies the transfer of property upon the grantor's death, avoiding probate for the grantees.

When this document is the right choice

This form is typically used in the following situations:

  • When an individual wishes to transfer property to multiple people while maintaining control over the property during their lifetime.
  • In estate planning to ensure that property passes directly to heirs without going through probate.
  • When the grantor wants to preserve their homestead rights while still transferring ownership to others.

Who typically uses Enhanced Life Estate or Lady Bird Deed

This form is suitable for:

  • Individuals looking to transfer real estate to family members or friends.
  • Property owners seeking to manage their estate effectively while retaining living rights.
  • Couples or partners wanting to ensure property rights are clearly defined for multiple beneficiaries.

Elements that make up this form

The Enhanced Life Estate Deed includes several important sections:

  • Grantor Information: Details about the individual transferring the property.
  • Grantee Information: Names and addresses of all individuals receiving the property.
  • Property Description: A clear description of the property being transferred.
  • Life Estate Clause: Specifies the rights retained by the grantor during their lifetime.
  • Remaindermen: Identifies who will receive the property after the grantor's death.
  • Notary Section: For legal acknowledgment of the document.

Steps to complete Enhanced Life Estate or Lady Bird Deed

Follow these steps to fill out the form:

  1. Identify the Parties: Enter the names and addresses of the grantor and all grantees.
  2. Describe the Property: Provide a detailed description of the property being transferred.
  3. Select Ownership Type: Indicate how the grantees will hold the property (e.g., tenants in common, joint tenants with rights of survivorship).
  4. Specify Remaindermen: List the individuals who will inherit the property after the grantor's death.
  5. Sign and Notarize: The grantor must sign the deed in the presence of a notary public for it to be legally binding.

State-specific requirements

This form is tailored for use in the State of Florida. It adheres to Florida's laws regarding property ownership and the creation of life estates. Users should ensure compliance with any additional local regulations or requirements that may apply to their specific situation.

Why use this form online

Accessing the Enhanced Life Estate Deed online offers several advantages:

  • Convenience: Download and complete the form from the comfort of your home.
  • Editability: Fill out the form digitally, making it easier to correct any mistakes.
  • Legal Reliability: The form is prepared by licensed attorneys, ensuring it meets legal standards.
Free preview
  • Form preview
  • Form preview
  • Form preview
  • Form preview
  • Form preview
  • Form preview
  • Form preview